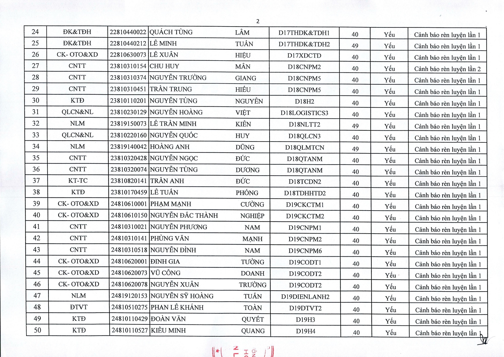
Chi tiết thông báo sinh viên xem tại ảnh dưới đây:
Link ảnh Lễ tốt nghiệp trường Đại học Điện lực năm 2022 (05-10-2022)
Thông báo về kế hoạch giảng dạy từ ngày 01/3/2022 (28-02-2022)
Thông báo "Danh sách sinh viên quá hạn đào tạo" (21-12-2021)
Thông báo v/v tổ chức đăng ký môn học học kỳ I năm học 2021-2022 (16-06-2021)
Thông báo v/v cài đặt ứng dụng VssID - BHXH số (22-04-2021)
V/v buộc thôi học SV vượt quá số lần cảnh báo học tập và nghỉ học dài ngày không lý do (17-03-2021)
Thông báo v/v nộp học phí ĐKMH tự động HK 2 năm học 2020-2021 đối với Sinh viên ĐHCQ, CĐCQ (03-03-2021)
Thông báo tổ chức đăng ký chuyên ngành cho sinh viên D15 (05-01-2021)
Đang online: 566 Hôm nay: 16962 Hôm qua: 30457 Tổng cộng: 65928600